氨基酸等有机小分子向蛋白质等生物大分子的转化是早期地球生命化学演化的重要阶段之一。黏土矿物在早期地球环境中分布广泛,其表面反应活性高,易与有机质结合,被认为是影响有机大分子形成的重要潜在因素。多年来,许多研究组已对水溶液体系(模拟原始海洋环境)中黏土矿物对氨基酸等有机小分子聚合形成有机大分子的反应机制开展了大量研究。除原始海洋环境外,早期地球也存在促使有机小分子在高温干态下发生热演化的环境。在火山喷发作用所导致的高温、无水环境中,氨基酸等小分子会经历复杂的高温热演化;而黏土矿物与有机质在沉积环境中往往紧密共生;因此,研究黏土矿物与有机小分子形成的复合体在火山喷发作用所致高温干态条件下的热演化机制,尤其是黏土矿物对氨基酸的脱水、缩合和分解等热演化反应所具有的作用,对于理解生命的化学演化过程具有重要意义。
中科院矿物学与成矿学重点实验室矿物表界面作用学科组袁鹏研究组以早期地球环境中广泛存在的膨胀性黏土矿物为模型矿物,研究了其与系列有机小分子复合体系中界面复合方式、矿物结构和有机质特性对有机分子热演化的影响,以期为深入认识黏土矿物在有机小分子向生物大分子转化这一重要过程中的角色提供依据。在黏土矿物-氨基酸复合体的相关研究中,该组采用多类型、具不同特征官能团和不同链长的氨基酸,与黏土矿物复合而形成矿物-有机质复合体;综合运用矿物结构分析、原位(加热)漫反射红外光谱和热重-红外光谱等方法,模拟了高温干态条件下氨基酸分子的热演化反应。通过系统分析反应产物组成和变化特征,探讨了黏土矿物微结构和固体酸性等表面性质影响有机小分子热演化的微观机制。
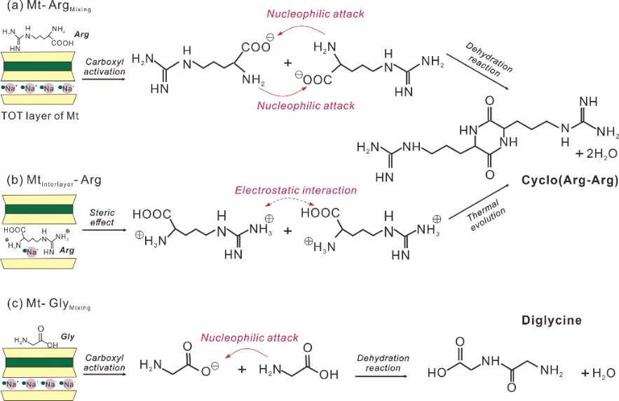
该研究工作近期获得以下新认识:提出黏土矿物的固体酸性及微结构对黏土矿物-氨基酸复合体中氨基酸的热演化具有显著影响,是其热演化反应途径、产物类型和热稳定性的关键制约因素。当氨基酸位于黏土矿物层外时,对于精氨酸等碱性氨基酸,黏土外表面固体酸位促使大分子有机质的形成温度显著低于纯相氨基酸体系;对于甘氨酸等中性氨基酸,黏土矿物强烈影响缩合产物的类型,导致黏土矿物-氨基酸复合体系的产物以线性大分子为主,而纯相氨基酸体系的缩合产物则以环状大分子为主。当氨基酸位于黏土矿物的层间域时,氨基酸热演化受空间位阻效应以及氨基酸与黏土片层之间静电作用的强烈影响,导致氨基酸分子间发生缩合形成含肽键大分子的初始温度升高。无论氨基酸存在于黏土矿物层间还是层外,其缩合所形成的有机大分子等产物的热稳定性都得到明显增强,表明黏土矿物对有机大分子产物具有保护效应。该成果近期发表于Chemical Geology,论文第一作者和通讯作者分别为卜红玲博士和袁鹏研究员。研究工作得到了国家自然科学基金、中科院青年创新促进会优秀会员项目等课题的资助。

图1 黏土矿物影响氨基酸热演化形成有机大分子的反应机制简图
论文信息: Bu Hongling, Yuan Peng*, Liu Hongmei, Liu Dong, Qin Zonghua, Zhong Xuemin, Song Hongzhe, Li Yun. 2019. Formation of macromolecules with peptide bonds via the thermal evolution of amino acids in the presence of montmorillonite: Insight into prebiotic geochemistry on the early Earth. Chemical Geology. 510, 72–83.
