碳基纳米材料,如富勒烯、碳纳米管、石墨烯和石墨化氮化碳由于其独特的物理化学性质而日益受到人们的关注,具有广泛的应用前景。由于大多数工业碳纳米材料最终都会进入环境,它们对人类健康和环境的潜在不良影响需要引起重视。因此,研究者们对它们的环境行为和对生物体的毒性进行了大量的研究。在众多碳纳米材料中,富勒烯及其衍生物作为一类碳纳米材料在生物医学、催化、污染物吸附、储氢等领域有着广泛的应用前景。因此,研究者们对这类碳纳米材料的研究热情日益高涨,导致了“富勒烯热”。多羟基富勒烯(PHF)在保留富勒烯大部分理化性质的同时,在体积水中溶解度更高,可方便地应用于水环境。此外,PHF已被确定为富勒烯暴露于环境中主要衍生物。许多因素,如紫外线照射、与氧化剂的相互作用以及与微生物的相互作用均可以促进富勒烯转化为PHF。然而,许多研究人员发现PHF对细菌和人类细胞均具有毒性。此外,富勒烯和PHF具有sp2杂化碳-碳键,且具有较强的抗生物降解和化学攻击能力。因此,吸附法可能是一种较为合适的去除水溶液中PHF的方法,其中选择合适的吸附剂至关重要。
一些粘土,如层状双金属氢氧化物(LDH)和蒙脱石,由于具有纳米级的层状结构,一般具有比表面积大、层板带电荷和层间离子可交换等特点。因此,它们可以通过离子交换有效地吸附水中的某些离子。前人研究发现阳离子聚亚胺改性蒙脱土可高效去除水溶液中的PHF。LDH,也称为阴离子粘土,其结构中部分的二价镁离子会被铝离子取代,使得其层板带正电荷。鉴于PHF通常带负电荷,因此LDH可能是PHF的良好吸附剂。LDH有趣的特性之一是它们的煅烧产物,又称LDO,能在水环境中通过复水过程恢复LDH的层状结构。前人的研究表明在吸附水中的阴离子时,LDO可能比LDH的吸附性能更强,这是由于污染物可随着LDH的再水化过程被吸附固定在LDH层间。
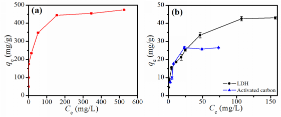
中国科学院广州地球化学研究所矿物学与成矿学重点实验室的朱雁平研究生证实了LDO能够从水溶液中有效地吸附PHF,其吸附容量大约为500mg/g,高于PHF吸附在LDH(~44mg/g)和活性炭(~27mg/g)的吸附容量(图1)。这三种等温吸附曲线都可以较好地拟合朗格缪尔等温方程。PHF在LDO上的高吸附量可能是由于LDO在结构重组的过程中空间位阻的减小以及PHF能够更好地接近吸附位点。此外,再水化的LDH的表面带正电荷,能够通过静电作用与带负电的PHF有较高的亲和力。Cl-和SO42-能够轻微地加强PHF在LDO上的吸附,然而HPO42-在PHF的整个浓度范围内都体现出显著的阻碍效应。吸附过和未吸附过PHF的吸附剂用XRD、FT-IR和TG进行了表征。吸附过PHF的产物的XRD结果没有显示出明显的底面间距的变化,证明PHF没有插层进入LDH的层间。FT-IR的结果显示由于PHF的吸附量的增加导致在某些波数上会发生红移或蓝移。热分析结果显示PHF和水滑石在加热的过程中会表现出相互保护的效应。
该研究得到国家自然基金(41572031)、国家青年拔尖人才支持计划和广东省青年拔尖人才支持计划(2014TQ01Z249)的支持,研究成果论文已发表在Applied Clay Science上。
论文信息:Zhu Yanping, Zhu Runliang, Chen Qingze, Laipan Minwang, Zhu Jianxi, Xi Yunfei, He Hongping. Calcined Mg/Al layered double hydroxides as efficient adsorbents for polyhydroxy fullerenes [J]. Applied Clay Science, 2018, 151: 66-72.
链接:https://www.sciencedirect.com/science/article/pii/S0169131717304684
图1.(a)LDO,(b)LDH和活性炭吸附PHF的等温吸附曲线
